Physics Kinematics Playlist by Darrell Barnes and Sharman Hughes
jpg files to match with physics kinematics problems by Barnes and Hughes:
kinematics physics problem-speed #1

kinematics-acceleration problem #2

kinematics-final velocity problem 3a

kinematics physics coach #1, isolating a final velocity variable

kinematics-problem 3b

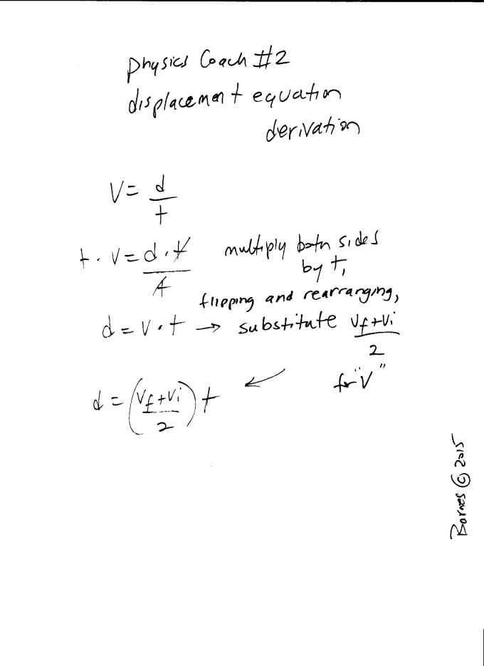
kinematics physics coach #2, displacement equation derivation

kinematics-displacement problem 3c

kinematics-intermediate problem 4a

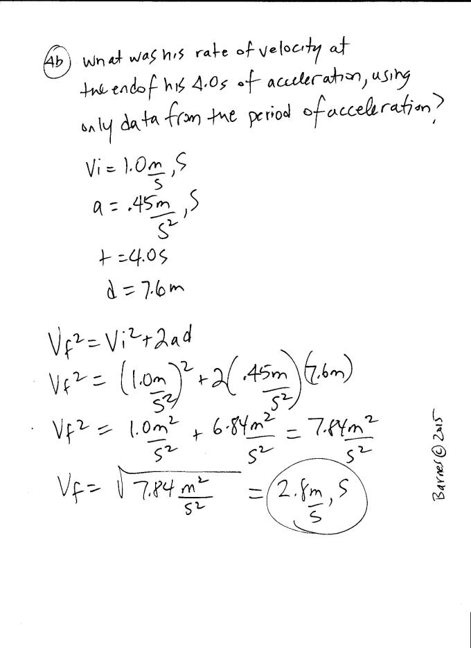
kinematics-intermediate problem 4b

kinematics-problem 4c

kinematics-intermediate problem 4d

kinematics-intermediate problem 5ab

kinematics-intermediate problem 5c

kinematics-intermediate problem 5d

